Next: Variational Bayes Updates
Up: tr04mw2
Previous: Acknowledgements
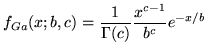
Gamma Distribution
has a two-parameter gamma distribution, denoted by
,
with parameters
and
, if its density is given by:
 |
(36) |
where
is the Gamma function. Note, that a gamma
distribution has
and
.